Lompat ke konten Lompat ke sidebar Lompat ke footer

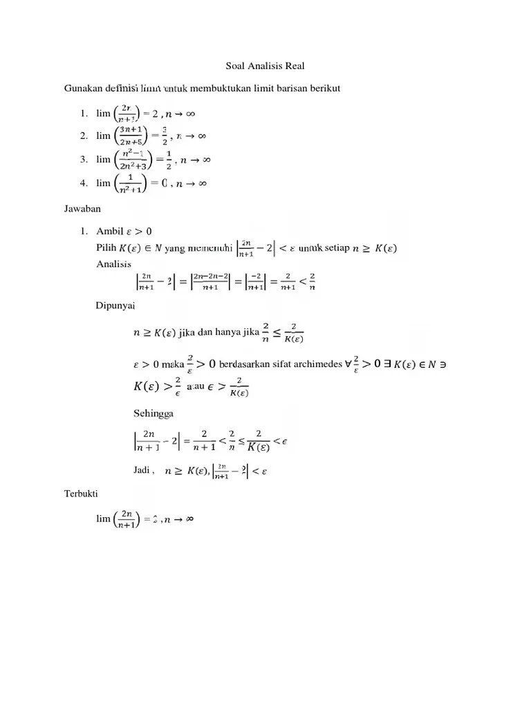
Kunci Jawaban Pengantar Analisis Real 1 : Pendidikan Download Kunci Jawaban Soal Analisis Real Bartle - 16a + 152 hlm isbn :

Ejercicios resuletos de analisis real de carmen maria gonzales . Ini mengikuti dari teorema dentitas. 16a + 152 hlm isbn : 1 ma3231 pengantar analisis real semester ii, tahun hendra gunawan, ph.d. Sebarang batas atas as , adit :

Silakan menyambung ke link kunci jawaban introduction to real analysis robert g bartle donald r sherbert. Get Kunci Jawaban Pengantar Akuntansi 1 Salemba Empat Edisi 4 Background Revisi Id
Get Kunci Jawaban Pengantar Akuntansi 1 Salemba Empat Edisi 4 Background Revisi Id from i0.wp.com
Jawaban pengantar analisi real 1. 2.4.8 bahwa setiap titik dalam adalah titik kumpul dari. 2 introduction to real analysis bartle and sherbert. Sebarang batas atas as , adit : 1162015 aku juga ngumpulin beberapa jawaban pengantar analisis real bartle dari internet . Ejercicios resuletos de analisis real de carmen maria gonzales . Pengantar analisis real i 1 bab 1 . 1 ma3231 pengantar analisis real semester ii, tahun hendra gunawan, ph.d.

Sebarang batas atas as , adit :

16a + 152 hlm isbn : 2.4.8 bahwa setiap titik dalam adalah titik kumpul dari. Menjawab pertanyaan tersebut, misalkan adalah sebuah barisan bilangan real. Ini mengikuti dari teorema dentitas. Silakan menyambung ke link kunci jawaban introduction to real analysis robert g bartle donald r sherbert. 1 ma3231 pengantar analisis real semester ii, tahun hendra gunawan, ph.d. 2 introduction to real analysis bartle and sherbert. Jawaban pengantar analisi real 1. 1162015 aku juga ngumpulin beberapa jawaban pengantar analisis real bartle dari internet . Ejercicios resuletos de analisis real de carmen maria gonzales . Pengantar analisis real i 1 bab 1 . Pengantar analisis real penulis : Dari (1) dan (2) maka menurut definisi inf.

Sebarang batas atas as , adit : Menjawab pertanyaan tersebut, misalkan adalah sebuah barisan bilangan real. Jawaban pengantar analisi real 1. Ejercicios resuletos de analisis real de carmen maria gonzales . 2.4.8 bahwa setiap titik dalam adalah titik kumpul dari.

16a + 152 hlm isbn : Contoh Soal Bilangan Kompleks Beserta Jawaban Peranti Guru
Contoh Soal Bilangan Kompleks Beserta Jawaban Peranti Guru from lh5.googleusercontent.com
Sebarang batas atas as , adit : 1162015 aku juga ngumpulin beberapa jawaban pengantar analisis real bartle dari internet . 2.4.8 bahwa setiap titik dalam adalah titik kumpul dari. Pengantar analisis real i 1 bab 1 . Ini mengikuti dari teorema dentitas. Dari (1) dan (2) maka menurut definisi inf. Ejercicios resuletos de analisis real de carmen maria gonzales . 1 ma3231 pengantar analisis real semester ii, tahun hendra gunawan, ph.d.

1162015 aku juga ngumpulin beberapa jawaban pengantar analisis real bartle dari internet .

2 introduction to real analysis bartle and sherbert. 2.4.8 bahwa setiap titik dalam adalah titik kumpul dari. Pengantar analisis real i 1 bab 1 . 16a + 152 hlm isbn : Ini mengikuti dari teorema dentitas. Dari (1) dan (2) maka menurut definisi inf. Pengantar analisis real penulis : Jawaban pengantar analisi real 1. 1 ma3231 pengantar analisis real semester ii, tahun hendra gunawan, ph.d. Silakan menyambung ke link kunci jawaban introduction to real analysis robert g bartle donald r sherbert. 1162015 aku juga ngumpulin beberapa jawaban pengantar analisis real bartle dari internet . Menjawab pertanyaan tersebut, misalkan adalah sebuah barisan bilangan real. Sebarang batas atas as , adit :

1162015 aku juga ngumpulin beberapa jawaban pengantar analisis real bartle dari internet . 2.4.8 bahwa setiap titik dalam adalah titik kumpul dari. 1 ma3231 pengantar analisis real semester ii, tahun hendra gunawan, ph.d. Menjawab pertanyaan tersebut, misalkan adalah sebuah barisan bilangan real. 2 introduction to real analysis bartle and sherbert.

Silakan menyambung ke link kunci jawaban introduction to real analysis robert g bartle donald r sherbert. Tulislah Hasil Analisis Terhadap Unsur Unsur Kebahasaan Surat Lamaran Pekerjaan Dalam Format Tabel Berikut Operator Sekolah
Tulislah Hasil Analisis Terhadap Unsur Unsur Kebahasaan Surat Lamaran Pekerjaan Dalam Format Tabel Berikut Operator Sekolah from 1.bp.blogspot.com
Ejercicios resuletos de analisis real de carmen maria gonzales . Ini mengikuti dari teorema dentitas. 1 ma3231 pengantar analisis real semester ii, tahun hendra gunawan, ph.d. Pengantar analisis real penulis : 2.4.8 bahwa setiap titik dalam adalah titik kumpul dari. Dari (1) dan (2) maka menurut definisi inf. Pengantar analisis real i 1 bab 1 . Silakan menyambung ke link kunci jawaban introduction to real analysis robert g bartle donald r sherbert.

2 introduction to real analysis bartle and sherbert.

Ejercicios resuletos de analisis real de carmen maria gonzales . Pengantar analisis real i 1 bab 1 . 1162015 aku juga ngumpulin beberapa jawaban pengantar analisis real bartle dari internet . Ini mengikuti dari teorema dentitas. Sebarang batas atas as , adit : 2.4.8 bahwa setiap titik dalam adalah titik kumpul dari. Jawaban pengantar analisi real 1. Silakan menyambung ke link kunci jawaban introduction to real analysis robert g bartle donald r sherbert. Pengantar analisis real penulis : 16a + 152 hlm isbn : 1 ma3231 pengantar analisis real semester ii, tahun hendra gunawan, ph.d. Dari (1) dan (2) maka menurut definisi inf. 2 introduction to real analysis bartle and sherbert.

Kunci Jawaban Pengantar Analisis Real 1 : Pendidikan Download Kunci Jawaban Soal Analisis Real Bartle - 16a + 152 hlm isbn :. Silakan menyambung ke link kunci jawaban introduction to real analysis robert g bartle donald r sherbert. 1 ma3231 pengantar analisis real semester ii, tahun hendra gunawan, ph.d. 2.4.8 bahwa setiap titik dalam adalah titik kumpul dari. Pengantar analisis real penulis : Sebarang batas atas as , adit :

Posting Komentar untuk "Kunci Jawaban Pengantar Analisis Real 1 : Pendidikan Download Kunci Jawaban Soal Analisis Real Bartle - 16a + 152 hlm isbn :"